Перейти к основному содержанию
EDU-MMCS
Вы используете гостевой доступ (Вход)

Информатика-Осень-ПМИ-2

  1. В начало
  2. Курсы
  3. Осенний семестр
  4. Информатика-Осень-ПМИ-2
  5. Цикл While
  6. no4 while03

no4 while03

◄ no3 while03
Подготовка к КР-3 (первая часть) ►
Пропустить Навигация
Навигация
  • В начало

    • Страницы сайта

      • Мои курсы

      • Теги

    • Мои курсы

    • Курсы

      • Осенний семестр

        • Прикладная математика и информатика

        • Фундаментальная информатика и ИТ

        • Математика, механика

        • Педагогическое образование

        • Магистратура

          • Разработка мобильных приложений и компьютерных игр

        • Аспирантура

        • Вечернее отделение

        • Другое

        • Информатика-Осень-ПМИ-2

          • Ссылка Яндекс Телемост

          • Условный оператор

          • Тема 2

          • Цикл While

            • ФайлWhile 2026 part1 solve

            • ФайлNameStud while lab01

            • ФайлShiryaeva while lab01

            • ФайлNameStud while lab02

            • ФайлNameStud while lab03

            • ЗаданиеРешение первых двух заданий из файла While 3

            • ЗаданиеПолный while-3

            • Файлno3 while03

            • Файлno4 while03

            • ЗаданиеПодготовка к КР-3 (первая часть)

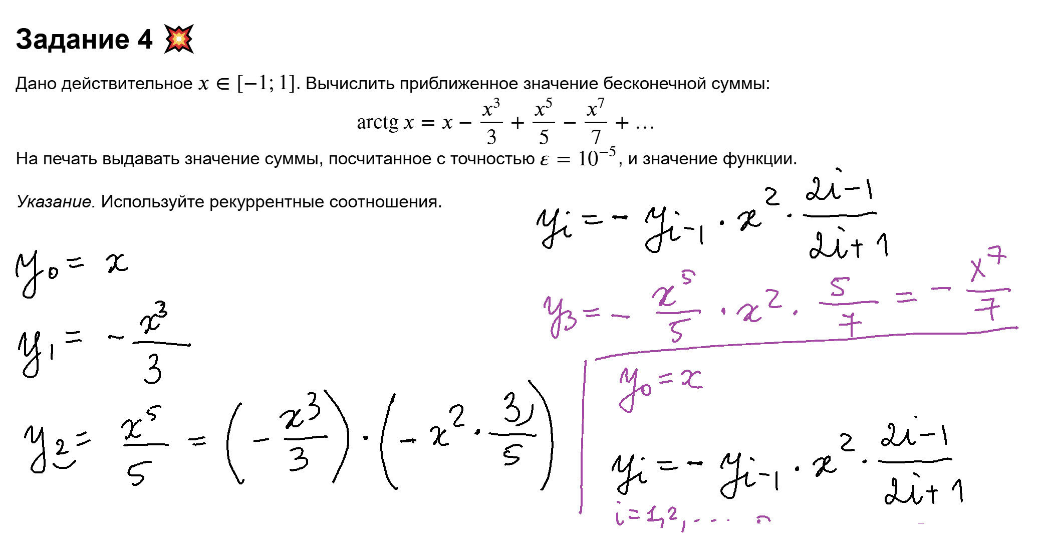
            • ЗаданиеРекуррентные соотношения

            • ФайлПрочитайте и научитесь

          • Файл для отработки задания "Цикл for"

          • Тема 5

          • Тема 6

          • Тема 7

          • Тема 8

          • Тема 9

          • Тема 10

          • Тема 11

          • Тема 12

          • Тема 13

          • Тема 14

          • Тема 15

          • Тема 16

        • Информатика-осень-ПМИ-1

        • ИММвс

        • ФИиТ eng 2025

      • Весенний семестр

        • Прикладная математика и информатика

        • Фундаментальная информатика и ИТ

        • Математика, механика

        • Педагогическое образование

        • Магистратура

          • Разработка мобильных приложений и компьютерных игр

        • Аспирантура

        • Вечернее отделение

        • Другое

      • Воскресная компьютерная школа

        • Пользователь компьютера плюс

        • Пользователь прикладных программ

        • Программирование I ступень

        • Программирование II ступень

        • Программирование III ступень

        • Архив

      • Воскресная математическая школа

        • Открытое тестирование РНОМЦ и мехмата ЮФУ - 2025

        • Олимпиадная математическая школа

        • Повышение квалификации

        • Доступная математика

        • Лаборатория математического онлайн-образования мех...

        • Осенняя универсиада

        • Научно-практическая конференция

        • ВМШ

          • ВМШ -2025

        • Летняя олимпиадная математическая школа РНОМЦ и ме...

      • Государственная итоговая аттестация

      • Дополнительное образование

      • Олимпиады

      • Видеолекции

      • Разное

      • Архив курсов

      • Заочная школа мехмата ЮФУ

Вы используете гостевой доступ (Вход)
Информатика-Осень-ПМИ-2
Сводка хранения данных
Скачать мобильное приложение Яндекс.Метрика