Перейти к основному содержанию
EDU-MMCS
Вы используете гостевой доступ (Вход)

Информатика-Осень-ПМИ-3

  1. В начало
  2. Курсы
  3. Осенний семестр
  4. Прикладная математика и информатика
  5. ИПМИ-3
  6. Цикл while
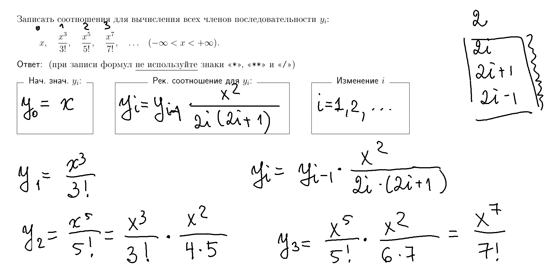
  7. example1 seriesII 2

example1 seriesII 2

◄ example1 seriesII 3fant
example1 seriesII 1 ►
Пропустить Навигация
Навигация
  • В начало

    • Страницы сайта

      • Мои курсы

      • Теги

    • Мои курсы

    • Курсы

      • Осенний семестр

        • Прикладная математика и информатика

          • Web RoR

          • ОАиП ПМИ2

          • УМФ 1-3 2025

          • ИПМИ-3

            • Общее

            • Цикл while

              • ФайлWhile 2026 part1 solve

              • ФайлNameStud while lab01

              • ФайлNameStud while lab02

              • ФайлShiryaeva while lab02

              • ФайлShiryaeva while lab01

              • Файлexample1 seriesII 3

              • Файлexample1 seriesII 3

              • Файлexample1 seriesII 1

              • Файлexample1 seriesII 1b

              • Файлexample1 seriesII test2

              • Файлexample1 seriesII 3fant

              • Файлexample1 seriesII 2

              • Файлexample1 seriesII 1

              • Файлno2 series4

              • Файлno2 series3

              • Файлno2 series1

              • Файлno1 series1

              • ЗаданиеПодготовка к КР-3

              • ФайлПрочитайте и запомните

              • Файлfor-for

              • ФайлforKR 5 while for stud

              • ФайлTrening KR while for

            • Создание функций

            • Списки

            • Поиск и сортировка в списках (подготовка к КР)

            • Строки-1

            • Матрицы

            • Рекурсивные функции

            • Функции высшего порядка

            • Замыкания. Декораторы

            • Тема 10

            • Тема 11

            • Тема 12

            • Тема 13

            • Тема 14

            • Тема 15

            • Тема 16

          • P2K

          • ИИ (4 курс)

          • ЧМ-2022 (ПМИ-3 4 и 5)

          • GrAlg

          • МО (бак)

          • ANSYS

          • Численные методы -1,3

        • Фундаментальная информатика и ИТ

        • Математика, механика

        • Педагогическое образование

        • Магистратура

          • Разработка мобильных приложений и компьютерных игр

        • Аспирантура

        • Вечернее отделение

        • Другое

        • Экзамен ИКТ

        • ТестИИ

        • Информатика-Осень-ПМИ-2

        • Информатика-осень-ПМИ-1

        • ИММвс

      • Весенний семестр

        • Прикладная математика и информатика

        • Фундаментальная информатика и ИТ

        • Математика, механика

        • Педагогическое образование

        • Магистратура

          • Разработка мобильных приложений и компьютерных игр

        • Аспирантура

        • Вечернее отделение

        • Другое

      • Воскресная компьютерная школа

        • Пользователь компьютера плюс

        • Пользователь прикладных программ

        • Программирование I ступень

        • Программирование II ступень

        • Программирование III ступень

        • Архив

      • Воскресная математическая школа

        • Открытое тестирование РНОМЦ и мехмата ЮФУ - 2025

        • Олимпиадная математическая школа

        • Повышение квалификации

        • Доступная математика

        • Лаборатория математического онлайн-образования мех...

        • Осенняя универсиада

        • Научно-практическая конференция

        • ВМШ

          • ВМШ -2025

        • Летняя олимпиадная математическая школа РНОМЦ и ме...

      • Государственная итоговая аттестация

      • Дополнительное образование

      • Олимпиады

      • Видеолекции

      • Разное

      • Архив курсов

      • Заочная школа мехмата ЮФУ

Вы используете гостевой доступ (Вход)
ИПМИ-3
Сводка хранения данных
Скачать мобильное приложение Яндекс.Метрика